眼科科普

更多 +

汇聚全面眼科知识,涵盖婴幼儿视力呵护、青少年近视防控,以及中老年人视疲劳、干眼、白内障、青光眼等常见眼疾应对。覆盖全年龄段、全眼科病种,贯穿预防、治疗、康复全周期管理,助力大众成为自身眼健康管理的主人,尽享明亮视界。

同样是做近视手术,为什么你的摘镜方案比别人“多一步”?

发布时间:2025/06/23

作者:康晶金眼科

不少近视患者在完成术前检查后,医生会建议在激光手术中同步进行‌角膜交联术‌,这一附加步骤常让人疑惑:


角膜交联是什么?有什么作用?同样是摘镜手术,为什么有些人需要“加多一步”?



图片

什么是角膜胶原交联术

图片



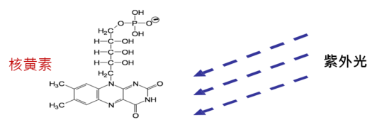
角膜胶原交联术(Corneal Collagen Cross-Linking, CXL)是一种通过光化学反应增强角膜生物力学稳定性的医疗技术。其核心原理是借助核黄素(维生素B₂)和特定波长的紫外线照射,刺激角膜胶原纤维交联,从而提升角膜的机械硬度和抗变形能力‌。


图片


这一技术最初用于治疗进展性圆锥角膜,通过“加固”变薄的角膜阻止病情恶化‌。随着临床应用拓展,它逐渐与屈光手术结合,成为高风险近视患者的“安全锁”,降低术后角膜扩张或视力回退的风险‌。



图片

角膜胶原交联术的操作过程

图片



角膜胶原交联术通常分为以下几步:



  • 清洁眼部、局部消毒;


  • 眼部滴入麻醉剂;


  • ‌核黄素渗透‌:将核黄素滴入角膜表面,使其充分渗透至角膜基质层。这一过程可能需要刮除部分角膜上皮(去上皮法)或保留上皮(跨上皮法)‌;


  • ‌紫外线激活‌:使用370nm紫外线对角膜进行精准照射,激活核黄素产生活性氧族,促使胶原纤维形成更牢固的交联结构‌。



image.png


全程约需30-60分钟,术后角膜的抗变形能力可提升300%以上‌。根据患者耐受度,医生可选择“快速交联”(加速愈合)或“传统交联”模式‌。



图片

哪些人需联合角膜胶原交联术?

图片


以下人群在近视手术中需联合角膜胶原交联术以降低风险:


‌角膜厚度不足者‌:术前角膜薄、或术后预估剩余厚度<安全值,需通过CXL加固角膜,避免继发性扩张‌。


‌高度近视患者‌:近视>800度时,激光手术需切削更多角膜组织,导致生物力学显著下降。CXL可增强剩余角膜的稳定性,减少远期形变风险‌。


‌角膜形态异常者‌:如角膜曲率>46D、散光不规则,或存在早期圆锥角膜倾向,CXL可阻止病情进展‌。


‌有特殊角膜病史者‌:反复角膜炎、外伤或感染性溃疡患者,CXL可修复受损胶原结构,降低术后并发症风险‌。




图片

近视手术为何要“加多一步”?

图片



近视激光手术需要切削角膜,所以为了提高术后角膜的稳定性,一些角膜较薄、较软的患者做近视手术时,医生会建议加角膜交联。


  1. 预防术后角膜生物力学衰竭

    激光手术通过切削角膜改变屈光力,但过度切削会削弱角膜抗压性,远期可能引发继发性圆锥角膜或扩张‌。研究显示,联合CXL可将此类风险降低‌。


  2. 减少视力回退

    高度近视患者术后可能出现视力回退。CXL通过增强角膜稳定性,可延长矫正效果的持久性‌。例如,角膜曲率异常者联合CXL后,高阶像差减少,夜间视觉质量显著提升‌。


相关推荐

  • 孩子近视防控新视角:除了眼轴,泪液渗透压是隐藏警报

  • 知名主持人双孩确诊弱视!3-6岁黄金治疗期,家长必看的科学干预指南

  • 同是白内障手术,为何有人术后不用戴眼镜,有人却要备3副?区别在这里!

眼科科普

更多 +

汇聚全面眼科知识,涵盖婴幼儿视力呵护、青少年近视防控,以及中老年人视疲劳、干眼、白内障、青光眼等常见眼疾应对。覆盖全年龄段、全眼科病种,贯穿预防、治疗、康复全周期管理,助力大众成为自身眼健康管理的主人,尽享明亮视界。

预约挂号

提交预约

预约成功

您已成功预约康晶金眼科门诊陈庆明医生号源,就诊时间:2025-06-03上午09:00-12:30,就诊编码:0000156206。请于就诊日携带身份证和医保卡于导诊台报到。

查看预约信息 返回首页

支付

微信扫码支付

支付结果

支付成功

查看订单